Micropropagation of valuable walnut genotypes for timber production: new advances and insights
DOI:
https://doi.org/10.12899/asr-1932Keywords:
Temporary Immersion, , TIS, acclimation, vitroplant, Ex Vitro management, potted plantsAbstract
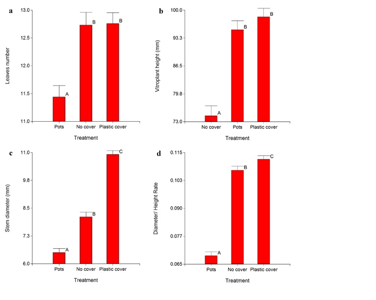
The intensive production of timber from walnuts is mainly hampered by the scarcity of varieties for this purpose. While the hybrid progeny Mj209xRa is considered suitable for timber production in Europe, problems associated with its recalcitrance, the low ability for rooting and the high mortality of acclimated vitroplants, limit the reproduction of elite trees. This research was aimed to assess the influence of two methods for the in vitro introduction of several walnut genotypes, to determine the effects of temporary immersion systems (TIS) on proliferation and rooting, and to reduce the random losses of acclimated vitroplants. Hence, trees from Mj209xRa progeny as well as some common walnuts were used. As an outstanding result, the in vitro establishment of 6 out of 7 trees was obtained. Also important was the improving of quality of microshoots, the multiplication ratios and the rooting using TIS through the management of the kind of bioreactor, the volume of culture media, and the kind of explant inoculated. The direct transplant to field nursery of acclimated vitroplants considerably increased their quality, while mortality was highly reduced. Certainly, these results represent a great contribution to the current micropropagation protocol, especially with the potential introduction of TIS for massive plant production
References
Akdemir H., Süzerer V., Onay A., Tilkat E., Ersali Y., Çiftçi Y.O. 2014 - Micropropagation of the pistachio and its rootstocks by temporary immersion system. Plant Cell Tissue and Organ Culture 117 (1): 65-76. DOI 10.1007/s11240-013-0421-0.
Bonga J.M., Von Aderkas P. 1992 - In vitro culture of trees. Kluwer Academic Publishers, Dordrecht, The Netherlands. 232p.
Chalupa V. 1981 - Clonal propagation of broad-leaved forest trees in vitro. Communication Institute of Forest Czech Republik 12: 255–271.
Cornu D., Jay-Allemand C. 1989 - Micropropagation of hybrid walnut trees (Juglans nigra x Juglans regia) through culture and multiplication of embryos. Annales des Sciences Forestières 46: 113s-116s.
Di Rienzo J.A., Casanoves F., Balzarini M.G., Gonzalez L., Tablada M., Robledo C.W. 2015 - InfoStat versión 2015. Grupo InfoStat, FCA, Universidad Nacional de Córdoba, Argentina.
Driver J.A., Kuniyuki, A.H. 1984 - In vitro propagation of Paradox walnut rootstock [Juglans hindsii X Juglans regia, tissue culture. HortScience 19 (4): 507-509.
Escalona M., Lorenzo J.C., González B., Daquinta M., González J.L., Desjardins Y., Borroto C.G. 1999 - Pineapple (Ananas comosus L. Merr) micropropagation in temporary immersion systems. Plant Cell Reports 18 (9): 743-748.
George E.F. 1993 - Plant propagation by tissue culture. Part 1: The technology. 2nd (revised) edition. Exegetics Limited. 574p.
Gotea R., Gotea I., Sestras R.E., Vahdati K. 2012 - In vitro propagation of several walnut cultivars. Bulletin of University of Agricultural Sciences and Veterinary Medicine Cluj-Napoca. Horticulture 69 (1): 167-171.
Heile-Sudholt C., Huetteman C.A., Preece J.E., Van Sambeek J.W., Gaffney G.R. 1986 - In vitro embryonic axis and seedling shoot tip culture of Juglans nigra L. Plant Cell Tissue and Organ Culture 6 (2): 189-197.
Licea-Moreno R.J., Morales A.V., Daquinta M., Gomez L. 2012 - Towards scaling-up the micropropagation of Juglans major (Torrey) Heller var. 209 9 J. regia L., a hybrid walnut of commercial interest. In: Proceedings of the IUFRO Working Party 2.09.02 conference “Integrating vegetative propagation, biotechnologies and genetic improvement for tree production and sustainable forest management”. Park Y.S., Bonga J.M. Eds. June 25-28, Brno, Czech Republic: 80–91.
Licea-Moreno R.J., Contreras A., Morales A.V., Urban I., Daquinta M., Gomez, L. 2015 - Improved walnut mass micropropagation through the combined use of phloroglucinol and FeEDDHA. Plant Cell Tissue and Organ Culture 123 (1): 143-154. DOI:
1007/s11240-015-0822-3.
Licea-Moreno R.J. 2016 - Biotecnología forestal aplicada a la producción de madera de nogal. Tesis Doctoral. Escuela Técnica Superior de Ingenieros Agrónomos, Universidad Politécnica de Madrid. 170 pp. DOI: 10.20868/UPM.thesis.39525.
Lorenzo J.C., González B.L., Escalona M., Teisson C., Borroto C. 1998 - Sugarcane shoot formation in an improved temporary immersion system. Plant Cell Tissue and Organ Culture 54 (3): 197-200.
McAlister B., Finnie J., Watt M.P., Blakeway F. 2005 - Use of the temporary immersion bioreactor system (RITA®) for production of commercial Eucalyptus clones in Mondi Forests (SA). Plant Cell Tissue and Organ Culture 81: 347–358. DOI: 10.1007/s11240-004-6658-x.
McGranahan G.H., Driver J.A., Tulecke W. 1987 - Tissue culture of Juglans. In: “Cell and tissue culture in forestry”. Bonga J.M., Durzan D.J. Eds., vol 3. Martinus Nijhoff, Boston: 261–271.
Piqueras A., Debergh P.C. 1999 - Morphogenesis in micropropagation. In: Morphogenesis in plant tissue cultures. Soh W.Y. et al. Eds. Springer, Dordrecht: 443-462.
Revilla M.A., Majada J., Rodriguez R. 1989 - Walnut (Juglans regia L.) micropropagation. Annales des Sciences Forestières 46: 149s-151s.
Rodriguez R., Revilla A., Albuerne M., Perez C. 1989 - Walnut (Juglans spp.). Biotechnology in Agriculture and Forestry 5: 99-126.
Stevens M.E., Pijut P.M. 2018 - Rapid in vitro shoot multiplication of the recalcitrant species Juglans nigra L. In Vitro Cellular & Developmental Biology-Plant 54 (3): 309-317. DOI: 10.1007/s11627-018-9892-3.
Quiala E., Cañal M.J., Meijón M., Rodríguez R., Chávez M., Valledor L., de Feria M. Barbón R. 2012 - Morphological and physiological responses of proliferating shoots of teak to temporary immersion and BA treatments. Plant Cell Tissue and Organ Culture 109 (2): 223-234.
South D.B., Mexal J.G. 1984 - Growing the "best" seedling for reforestation success. Forestry Department. Alabama Agricultural Experimental Station. Auburn University. Series No. 12. December. 10 p.
Tuan P.N., Meier-Dinkel A., Höltken A.M., Wenzlitschke I., Winkelmann T. 2016 - Paving the way for large-scale micropropagation of Juglans× intermedia using genetically identified hybrid seed. Plant Cell Tissue and Organ Culture 126 (1): 153-166. DOI: 10.1007/s11240-016-0986-5
Vahdati K., Najafian Ashrafi E., Ebrahimzadeh H., Mirmasoumi M. 2009. Improved micropropagation of walnut (Juglans regia L.) on media optimized for growth based upon mineral content of walnut seed. Acta Horticulturae 839: 117-124.
Vidal N., Blanco B., Cuenca B. 2015 - A temporary immersion system for micropropagation of axillary shoots of hybrid chestnut. Plant Cell Tissue and Organ Culture 123 (2): 229-243. DOI: 10.1007/s11240-015-0827-y.
Willem P., Sutton R.F. 1980 - Evaluation of Stock after Planting. New Zealand Journal Forest Science 10 (1): 297-299.
Downloads
Published
How to Cite
Issue
Section
Categories
License
Copyright (c) 2020 Ricardo Julian Licea-Moreno, Alexandru Fira, Georgi Chocov

This work is licensed under a Creative Commons Attribution 4.0 International License.
Authors who publish with this journal agree to the following terms: Authors retain copyright and grant the journal right of first publication with the work simultaneously licensed under a Creative Commons Attribution License that allows others to share the work with an acknowledgement of the work's authorship and initial publication in this journal. Authors are able to enter into separate, additional contractual arrangements for the non-exclusive distribution of the journal's published version of the work (e.g., post it to an institutional repository or publish it in a book), with an acknowledgement of its initial publication in this journal. Authors are permitted and encouraged to post their work online (e.g., in institutional repositories or on their website) prior to and during the submission process, as it can lead to productive exchanges, as well as earlier and greater citation of published work (See The Effect of Open Access).







