Exploratory analysis of atmospheric pollution in a coastal forest ecosystem in central Italy
DOI:
https://doi.org/10.12899/asr-984Keywords:
atmospheric deposition, pollution sources, forest ecosystem, soil, central Italy.Abstract
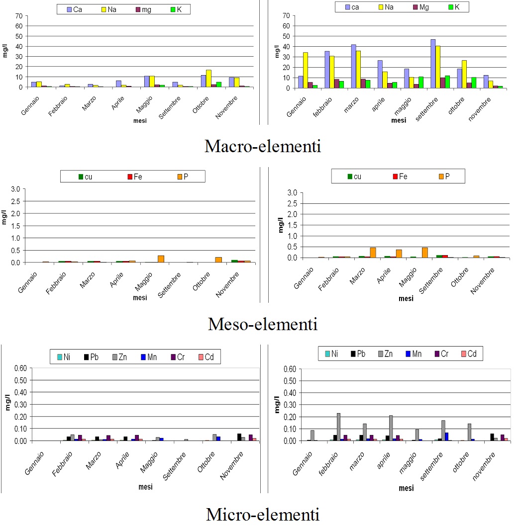
Exploratory analysis of atmospheric pollution in a coastal forest ecosystem in central Italy - The study of spatial and temporal distribution of heavy metals in the atmosphere through the continuous assessment of deposition is of great interest for the analysis of anthropogenic pressure on the environment and the potential toxicity to humans and other living organisms. Information based on reliable estimates of heavy metals is therefore crucial for the evaluation of environmental quality. Trends in heavy metal concentration in atmospheric depositions on a coastal forest ecosystem (Castelporziano, Rome) are analyzed in the present study based on a three-year monitoring field survey over three sites representative of different woodland characteristics in the area. Our results highlight both the influence of transportation processes in the short and medium distance based on the human pressure reflecting urban expansion and infrastructure development on the fringe of Castelporziano pristine forest. Further studies investigating the latent correlation with meteorological variables at various temporal scales are needed to provide a comprehensive picture of environmental conditions in a forest ecosystem subjected to increasing human pressure. Analysis of runoff water quality and the determination of other heavy metals, such as arsenic, may identify additional sources of pollution impacting soil and forest ecosystem.
References
Aromolo R., Benedetti A., Fiorelli F., Francaviglia R., Gataleta L., Marchionni M., Morselli L. 1999a - Approccio metodologico allo studio integrato dei metalli pesanti nell'ambiente. In: Atti della Conferenza Organizzativa Inquinamento del suolo da metalli pesanti, 6- 7 maggio Sassari: 8.
Aromolo R., Benedetti A., Fiorelli F., Francaviglia R., Gataleta L., Marchionni M., Morselli L. 1999b - Valutazione interdisciplinare della vulnerabilità all'acidificazione e della qualità dei suoli della Tenuta Presidenziale di Castelporziano. In: Atti del V Congresso Nazionale di Chimica Ambientale SCI, 8-11 giugno Lerici: 52-53.
Francaviglia R., Aromolo R., Gataleta L., Morselli L., Brusori B., Passarini F., Novo A., Olivieri P. 2001a - Monitoraggio delle deposizioni atmosferiche umide e secche presso la Tenuta Presidenziale di Castelporziano. Accademia Nazionale delle Scienze detta dei XL, Collana Scritti e Documenti XXVI: 331-341.
Francaviglia R., Gataleta L., Marchionni M., Aromolo R., Benedetti A., Morselli L., Brusori B., Olivieri P. 2001b - Valutazione della vulnerabilità all’acidificazione e della degradazione microbiologica dei suoli della Tenuta Presidenziale di Castelporziano. Accademia Nazionale delle Scienze detta dei XL, Collana Scritti e Documenti XXVI: 377-395.
Francaviglia R., Gataleta L., Marchionni M., Trinchera A., Aromolo R., Benedetti A., Morselli L., Brusori B., Olivieri P. 2004 - Soil quality and vulnerability at a Mediterranean natural ecosystem of Central Italy. Chemosphere (55) 3: 455-466.
Morselli L., Iannuccilli A., Barilli L., Olivieri P., Francaviglia R., Aromolo R., Di Carlo V. 1998 - A methodological proposal for the monitoring of atmospheric depositions and evaluation of critical loads exceedences. Annali di Chimica 88: 645-655.
Morselli L., Barilli L., Olivieri P., Cecchini M., Aromolo R., Di Carlo V., Francaviglia R., Gataleta L. 1999 - Heavy metals determination in dry surrogate depositions. Characterization of an urban and a natural site. Annali di Chimica 89: 739-746.
Morselli L., Brusori B., Passarini F., Francaviglia R., Gataleta L., Marchionni M., Aromolo R., Benedetti A., Olivieri P. 2004 - Heavy Metals Monitoring at a Mediterranean Natural Ecosystem of Central Italy. Trends in Different Environmental Matrixes. Environment International 30: 173-181.
Downloads
Additional Files
Published
How to Cite
Issue
Section
Categories
License
Copyright (c) 2015 Rita Aromolo, Valerio Moretti, Luca Salvati

This work is licensed under a Creative Commons Attribution 4.0 International License.
Authors who publish with this journal agree to the following terms: Authors retain copyright and grant the journal right of first publication with the work simultaneously licensed under a Creative Commons Attribution License that allows others to share the work with an acknowledgement of the work's authorship and initial publication in this journal. Authors are able to enter into separate, additional contractual arrangements for the non-exclusive distribution of the journal's published version of the work (e.g., post it to an institutional repository or publish it in a book), with an acknowledgement of its initial publication in this journal. Authors are permitted and encouraged to post their work online (e.g., in institutional repositories or on their website) prior to and during the submission process, as it can lead to productive exchanges, as well as earlier and greater citation of published work (See The Effect of Open Access).







