Assessing seed regeneration in chestnut coppices: a methodological approach
DOI:
https://doi.org/10.12899/asr-1670Keywords:
chestnut coppice, seed regeneration, sampling protocol, coppice system, standardsAbstract
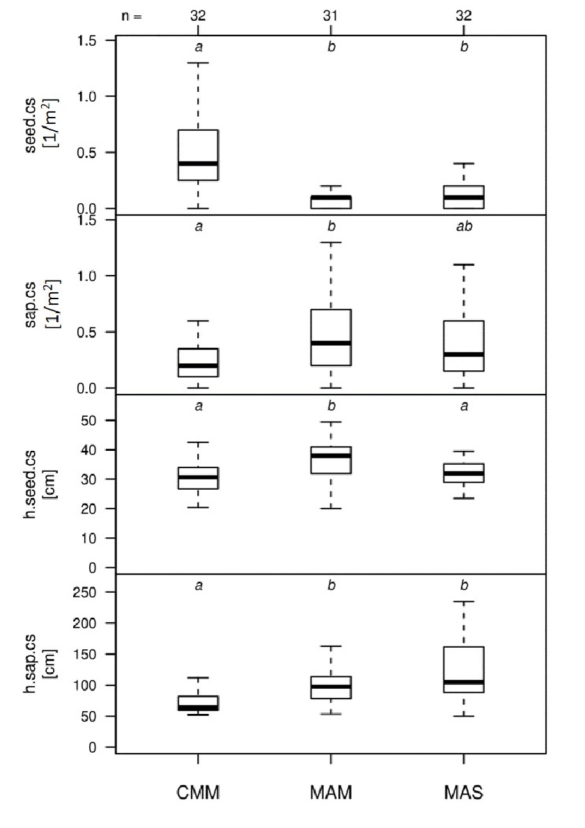
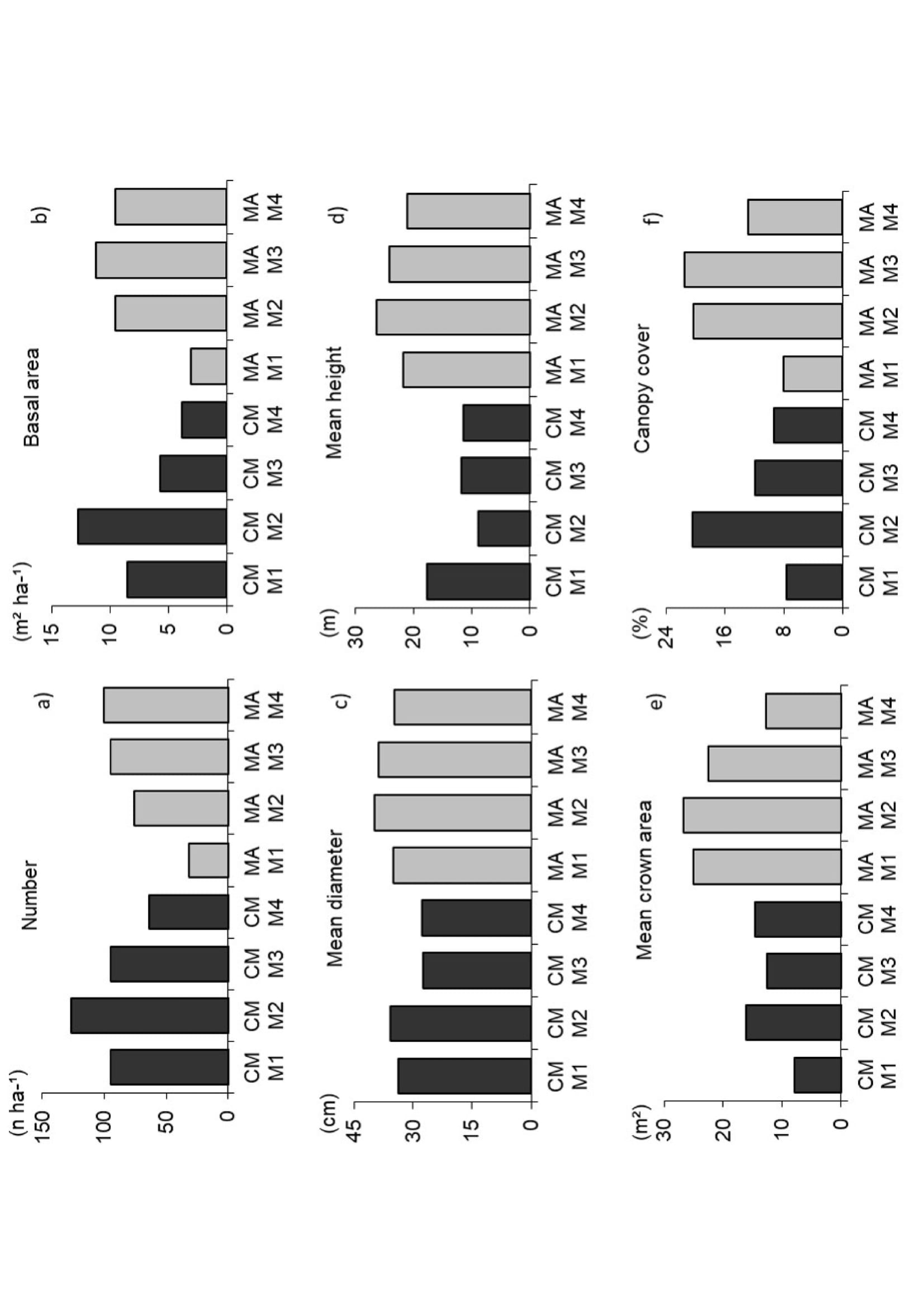
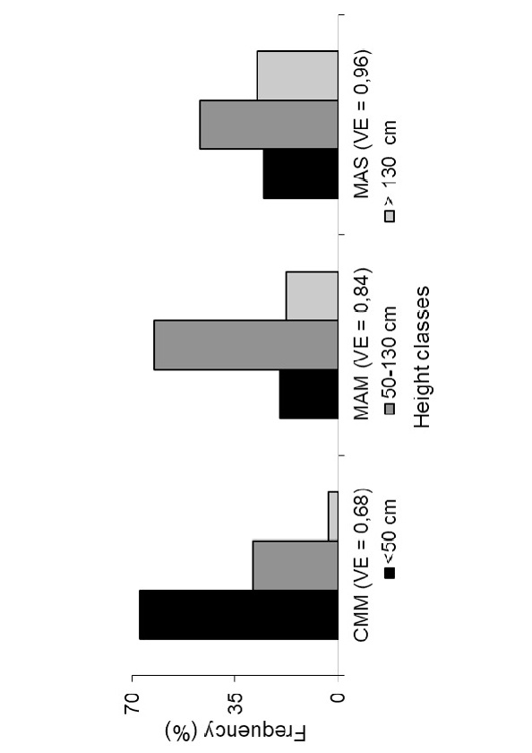
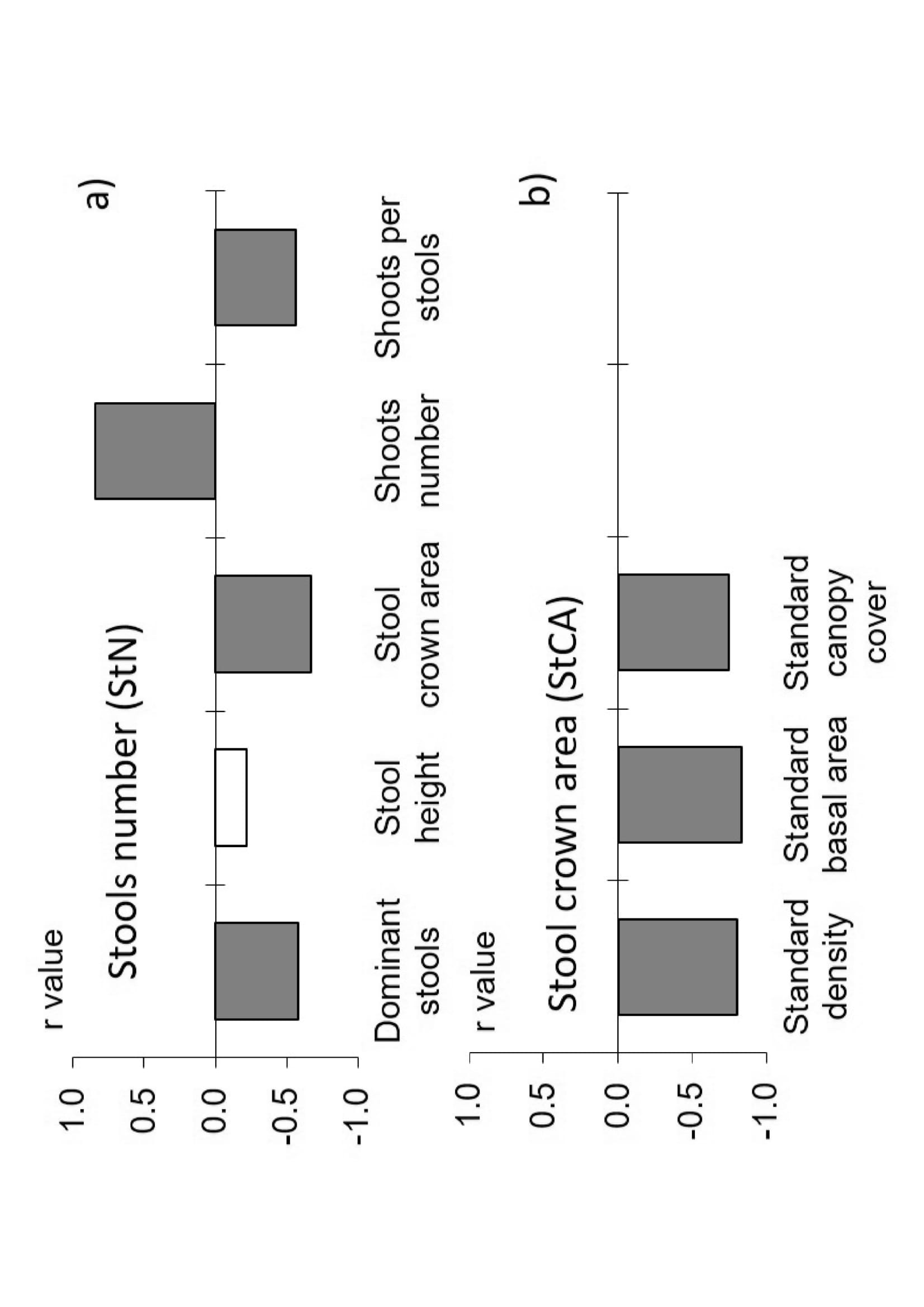
Over the last decades, the abandonment of the traditional management due to many adverse factors caused a general aging of chestnut coppices; this led to an increased mortality of the chestnut stools and a consequent replacement with the entry of other species. Preservation and improvement of the chestnut coppice emphasize the importance of natural regeneration for future forest management: seed regeneration contributes to provide new stools for future coppice generations and promotes a proper development of the stand in terms of specific and structural diversity. In this study, we propose a method for investigating the relationship between density, diversity, development of natural regeneration and possible driving forces in terms of site conditions and stand parameters. At this purpose, a survey based on mixed sampling plots was conducted in different coppice systems (simple coppice, coppice with standards), 4÷8 years after the coppicing: measurements on stools, shoots and standards, as well as seed regeneration were carried out. Chestnut seed regeneration was characterized by taller individuals in simple coppice plots, even though the seedlings were fewer than those in coppice with standards treatment. Canopy cover and amount of standards, density of stools and resprouting shoots negatively influenced the establishment of chestnut seed regeneration: likewise, within the same treatment, plots with greater site index promoted the development of chestnut regeneration.
The proposed methods allowed a characterization of the dynamics related to the natural regeneration of classical chestnut coppice systems, identifying the main controlling factors. Among them, factors modifiable by management, such as stand structure and amount of standards, offer forest managers multiple silvicultural options to control seed regeneration processes.
References
Amorini E., Bruschini S., Manetti M.C. 2000 - Alternative silvicultural systems in chestnut coppice: effects of the silvicultural practice on stand structure and tree growth. Ecologia Mediterranea, 26 (1-2): 155-162.
Anderson-Teixeira K.J., Miller A.D., Mohan J.E., Hudiburg, T.W., Duval B.D., DeLucia, E.H. 2013 - Altered dynamics of forest recovery under a changing climate. Global Change Biology, 19 (7): 2001-2021. doi: 10.1111/gcb.12194.
Beasley R.S., Granillo A.B. 1985 - Soil protection by natural vegetation on clearcut forest land in Arkansas. Journal of Soil and Water Conservation, 40 (4): 379-382.
Becagli C., Amorini E., Fratini R., Manetti M.C., Marone E. 2010 - Problems and prospects of the chestnut timber chain in Tuscany. Proceedings 1st European Congress on Chestnut – Castanea 2009. Eds. G. Bounous and G.L. Beccaro, Acta Horticolturae n. 866, ISHS2010: 693-702.
Beguin J., Tremblay J.P., Thiffault N., Pothier D., Cote, S.D. 2016 - Management of forest regeneration in boreal and temperate deer-forest systems: challenges, guidelines, and research gaps. Ecosphere, 7 (10). doi:10.1002/ecs2.1488.
Blanco J.A., Welham C., Kimmins J.P., Seely B., Mailly D. 2009 - Guidelines for modeling natural regeneration in boreal forests. Forestry Chronicle, 85 (3): 427-439.
Borghetti M., Giannini R. 2003 -. Natural regeneration in Woodland management. In: Encyclopedia of Life Support Systems (EOLSS). Publishers, Oxford, UK.
Conedera M., Stanga P., Oester B., Bachmann P. 2001 - Competition and dynamics in abandoned chestnut orchards in southern Switzerland. For. Snow. Landascape. Res. 76: 487 – 492.
Conedera M., Manetti M.C., Giudici F., Amorini E. 2004 - Distribution and economic potential of the sweet chestnut (Castanea sativa Mill.) in Europe. Ecologia Mediterranea, 30 (2): 179-193.
Conedera M., Garbarino M, Pividori, M., Coch T. 2006 - Banca semi in un ceduo di castagno fuori turno. Caratteristiche e funzionalità. Sherwood, 122: 9-13.
Conedera M., Fonti P., Nicoloso A., Meloni F., Pividori M. 2009 - Ribaltamento delle ceppaie di castagno. Individuazione delle zone a rischio e proposte selvicolturali. Sherwood, 154: 15-18.
Conedera M., Tinner W., Krebs P., de Rigo D., Caudullo G. 2016 - Castanea sativa in Europe: distribution, habitat, usage and threats. In: San-Miguel-Ayanz J., de Rigo D., Caudullo G., Houston Durrant T., Mauri A. (Eds.), European Atlas of Forest Tree Species. Publ. Off. EU, Luxembourg, pp. e0125e0+.
Covone F., Gratani L. 2006 - Age-related physiological and structural traits of chestnut coppices at the Castelli Romani Park (Italy). Annals of Forest Science, 63(3): 239-247. doi: 10.1051/forest:2006002.
Cutini A. 2000. Biomass, litterfall and productivity in chestnut coppices of various age at Monte Amiata (Central Italy). Ecol. Mediterr. 26 (1-2): 33-41.
Gallardo-Lancho J.F. 2001 - Distribution of chestnut (Castanea sativa Mill.) forests in Spain: possible ecological criteria for quality and management (focusing on timber coppices). For. Snow Landsc. Res, 76 (3): 477-481.
Giudici F., Zingg A. 2005 - Sprouting ability and mortality of chestnut (Castanea sativa Mill.) after coppicing. A case study. Annals of Forest Science, 62 (6): 513-523.
Gondard H., Romane F., Santa Regina I., Leonardi S. 2006 - Forest management and plant species diversity in chestnut stands of three Mediterranean areas. In Forest Diversity and Management (pp. 69-82). Springer Netherlands.
Guitian J., Guitian P., Munilla I., Guitian J., Garrido J., Penin L., Dominguez P., Guitian L. 2012 - Biodiversity in Chestnut Woodlots: Management Regimen vs Woodlot Size. Open J. For. 2: 200–206. doi:10.4236/ojf.2012.24024 .
Johnson P.S., Shifley S.R., Rogers R. 2009 - The ecology and silviculture of oaks. CABI.
Kerr G. 2000 - Natural regeneration of Corsican pine (Pinus nigra subsp. laricio) in Great Britain. Forestry, 73 (5): 479-488.
LaMMA Consortium n.d. - Soil Map of Tuscany. Retrieved from: http://sit.lamma.rete.toscana.it/websuoli/.
Legendre P., Legendre L. 1998 - Numerical ecology. Elsevier Science B.V., Amsterdam, 853 pp.
Lehaire F., Ligot G., Morelle K., Lejeune P. 2014 - Indicators of red deer pressure on understory vegetation in temperate deciduous forest. Biotechnologie Agronomie Societe Et Environnement, 18 (2): 262-272.
Magini E. 1967 – Ricerche sui fattori della rinnovazione naturale dell’abete bianco sull’Appennino. L’Italia Forestale e Montana, 22: 261-270.
Manetti M.C., Amorini E., Becagli C., Conedera M., Giudici F. 2001 - Productive potential of chestnut (Castanea sativa Mill.) stands in Europe. For. Snow Landsc. Res. 76, 3: 471–476.
Manetti M.C., Amorini E., Becagli C. 2006 - New silvicultural models to improve functionality of chestnut stands. Advances in Horticultural Science, 1: 65-69.
Manetti M.C., Amorini E., Becagli C. 2009. Il ruolo del castagno nella selvicoltura italiana: prospettive colturali e valenza socio-economica. Atti del Terzo Congresso Nazionale di Selvicoltura. Taormina (ME), 16-19 ottobre 2008. Accademia Italiana di Scienze Forestali, Firenze, p. 842-850.
Manetti M.C., Amorini E., Becagli C., Pelleri F., Pividori M., Schleppi P., Zingg A., Conedera M. 2010 - Quality wood production from chestnut (Castanea sativa Mill.) coppice forests. Comparison between different silvicultural approaches. Proceedings 1st European Congress on Chestnut – Castanea 2009. Eds. G. Bounous and G.L. Beccaro, Acta Horticolturae n. 866, ISHS2010: 683-692.
Manetti M.C., Amorini E. 2012 - La matricinatura nei cedui di castagno: retaggio culturale o esigenza colturale? Forest@, vol. 9: 281-292.
Manetti M.C., Becagli C., Sansone D., Pelleri F. 2016 - Tree-oriented silviculture: a new approach for coppice stands. iForest 9: 791-800.
Manetti M.C., Becagli C., Carbone F., Corona P, Giannini T., Romano R., Pelleri F., 2017 - Linee guida per la selvicoltura dei cedui di castagno. Rete Rurale Nazionale, Consiglio per la ricerca in agricoltura e l'analisi dell'economia agraria, Roma, ISBN: 9788899595579.
Mattioli W., Pinelli A., Filibeck G., Portoghesi L., Scoppola A., Corona P. 2008 - Relazioni tra gestione selvicolturale, tipo forestale e diversità floristica in cedui castanili. Forest@-Journal of Silviculture and Forest Ecology, 5 (2): 136-145.
Müllerová J., Hédl R., Szabó P. 2015 - Coppice abandonment and its implications for species diversity in forest vegetation. Forest Ecology and Management, 343: 88–100. doi:10.1016/j.foreco.2015.02.003.
Muscolo A., Bagnato S., Sidari M., Mercurio R. 2014 - A review of the roles of forest canopy gaps. Journal of Forestry Research, 25 (4): 725-736.
Neumann M., Starlinger F., 2001 - The significance of different indices for stand structure and diversity in forest. Forest Ecology and Management 145: 91-106.
Ott E., Conceprio F., Pedrini A. 2003 - Prime valutazioni sull'introduzione della rinnovazione naturale nel bosco ceduo di castagno misto a faggio nella foresta sperimentale e didattica della SPF di Zurigo a Novaggio, Cantone Ticino - Preliminary evaluation of the introduction of natural regeneration into a chestnut-beech coppice in Novaggio, Tessin, Switzerland. Schweizerische Zeitschrift fur Forstwesen 154, 51-67.
Petrie M.D., Wildeman A.M., Bradford J.B., Hubbard R.M., Lauenroth W.K. 2016 - A review of precipitation and temperature control on seedling emergence and establishment for ponderosa and lodgepole pine forest regeneration. Forest Ecology and Management, 361: 328-338.
Pividori M., Armando F., Conedera M. 2005 - Post cultural dynamics in a mixed chestnut coppice at its ecological border. In: Abreu C., Rosa
E., Monteiro A. (Eds.), Proceedings of the IIIrd International Chestnut Congress. ISHS Acta Hort. vol. 693, pp. 219-224.
Shannon C.E. 1948 ¬ The mathematical theory of communication. In: Shannon C.E., Weaver W. (Eds.), The Mathematical Theory of Communication. University of Illinois Press, Urbana: 29-125.
Sheffer E. 2012 - A review of the development of Mediterranean pine-oak ecosystems after land abandonment and afforestation: are they novel ecosystems? Annals of Forest Science, 69 (4): 429-443.
Vogt J., Fonti P., Conedera M., Schröder B. 2006 - Temporal and spatial dynamic of stool uprooting in abandoned chestnut coppice forests. Forest Ecology and Management, 235 (1): 88-95. doi.org/10.1016/j.foreco.2006.08.008.
Wrobel A. 2014 - Influence of the rodents on forest regeneration considering natural and anthropogenic disturbances. Sylwan, 158 (9): 714-720.
Zlatanov T., Schleppi P., Velichkov I., Hinkov G., Georgieva M., Eggertsson O., Zlatanova M., Vacik H., 2013 - Structural diversity of abandoned chestnut (Castanea sativa Mill.) dominated forests: Implications for forest management. For. Ecol. Manage. 291: 326–335. doi:10.1016/j.foreco.2012.11.015.
Zlatanov T., Velichkov I., Georgieva M., Hinkov G., Zlatanova M., Gogusev G., Eastaugh C. 2015 - Does management improve the state of chestnut (Castanea sativa L.) on Belasitsa Mountain, southwest Bulgaria? iForest - Biogeosciences For. e1–e6. doi:10.3832/ifor1420-008.
Zhu J.J., Lu D.L., Zhang W.D. 2014 - Effects of gaps on regeneration of woody plants: a meta-analysis. Journal of Forestry Research, 25 (3): 501-510.
Downloads
Additional Files
- Figure 1 jpg
- Figure 2
- Figura 2 jpg
- Figure 2 (A)
- Figure 2 (B)
- Figure 4
- Figura 4 jpg
- Figure 3 jpg
- Figure 4 (A)
- Figure 4 (B)
- Figure 4 (C)
- Figure 4 (D)
- Figure 4 (E)
- Figure 4 (F)
- Figure 5
- Figura 5 jpg
- Figure 5 (A)
- Figure 5 (B)
- Figure 6
- Figura 6 jpg
- Figure 7
- Figura 7 jpg
- Figure 8
- Figura 8 jpg
- Figure Captions
- Tables Revised
Published
How to Cite
Issue
Section
Categories
License
Copyright (c) 2018 Maria Chiara Manetti, Claudia Becagli, Francesco Pelleri, Gianni Boris Pezzatti, Mario Pividori, Marco Conedera, enrico marcolin

This work is licensed under a Creative Commons Attribution 4.0 International License.
Authors who publish with this journal agree to the following terms: Authors retain copyright and grant the journal right of first publication with the work simultaneously licensed under a Creative Commons Attribution License that allows others to share the work with an acknowledgement of the work's authorship and initial publication in this journal. Authors are able to enter into separate, additional contractual arrangements for the non-exclusive distribution of the journal's published version of the work (e.g., post it to an institutional repository or publish it in a book), with an acknowledgement of its initial publication in this journal. Authors are permitted and encouraged to post their work online (e.g., in institutional repositories or on their website) prior to and during the submission process, as it can lead to productive exchanges, as well as earlier and greater citation of published work (See The Effect of Open Access).







